生产设备 | 企业文化 | 人才招聘 | 起重电机信息

所有产品

              起重及冶金用电动机
              辊道用电动机
              防爆电机

 
当前位置:首页 > 起重电机信息
 

起重电机之全功能小车型轨道式集装箱起重机辅助电机自动控制研究

发布时间:2022-06-08 13:42:00 点击:    

 
 

谭兴福 刘春明

上海振华重工(集团)股份有限公司 上海 200125


摘 要:通过对全功能小车型轨道式集装箱起重机主钢丝绳和辅助钢丝绳空间关系建模,求出主钢丝绳和辅助钢丝绳绳长的空间表达式,计算出辅助电机速度给定与主起升速度给定之间的关系,实现了辅助钢丝绳和主钢丝绳的同步控制。为实现吊具的微动控制, 对辅助钢丝绳进行求导, 计算出吊具微动速度与辅助钢丝绳收放速度之间的关系, 并采用PD 控制技术对吊具微动速度进行控制。最后进行实地测试,经测试该类型场桥可以满足自动化需要。

关键词:轨道式集装箱起重机;全功能小车;PD 控制;微动控制

中图分类号:U653.921:TP273 文献标识码:文章编号:1001-0785(2020)12-0032-05

图片


0 引言


起重电机专业生产厂家无锡宏达2022年6月8日讯 随着科技的进步,码头趋近于向自动化、智能化方向发展,轨道式集装箱起重机(以下简称场桥)作为自动化堆场的重要组成设备,扮演着越来越大的作用,国内外制造商在场桥这一领域的竞争也是越来越激烈。近年来国内劳动力的成本优势相对国外企业逐渐减少。在这种情况下,如要在竞争中脱颖而出,需要提高产品质量并降低制造成本。

场桥按照钢丝绳的缠绕方式可主要分为两种结构,即八绳结构和四绳结构。在实际运行时,受大车及小车加减速的影响会导致吊具产生大幅摇动。八绳结构的钢丝绳一般按照倒三角形或正三角形两种结构缠绕,这样的结构大大提高了悬挂刚度,可迅速消除大车小车加减速过程中产生的摆动,该结构防摇通过机械实现,控制程序简单,并可方便添加吊具微动设备。但通过机械结构吸收吊具的动能会降低钢丝绳使用寿命,同时由于小车架内部应力较大,小车架结构笨重,成本较高。四绳结构钢丝绳的缠绕方式类似矩形,刚度非常小,几乎不能吸收吊具摆动动能。因此,钢丝绳和小车架受力较小,小车架质量轻,钢丝绳寿命长,在工作中只能采用电子防摇,虽然国内外众多学者对该类型场桥的防摇进行过很多研究,防摇算法也有多种,但基本都是通过控制小车速度实现的。在自动化作业时,小车既要实现目标定位又要进行防摇控制,控制难度较高,定位精度相对较低。同时该结构场桥在抓放箱时难以实现吊具旋转。因此,国内某公司设计了一种新型场桥,称为全功能小车型场桥。


1 全功能小车型场桥结构


与普通四绳场桥相比,全功能小车型场桥在小车架上增加了4 个辅助电机、减速器、辅助卷筒、变频器,在每个辅助卷筒上增加了绝对值编码器等,吊具上增加了4 个动滑轮。4 根防摇钢丝绳在空间布置上为等长度且互不交叉干涉,一端缠绕在主起升卷筒上,和主起升钢丝绳一起运动,另一端分别通过4 个导向滑轮缠绕在4 个防摇卷筒上。主钢丝绳和辅助钢丝绳的缠绕图如图1 所示。



图片


图1 全功能小车型场桥钢丝绳缠绕图

该缠绕结构可通过辅助钢丝绳实现吊具的平移和旋转,并通过左右主卷筒实现吊具的左右倾,故被称为全功能小车型结构。该结构场桥保留了四绳结构的质量轻、应力小、设备寿命长等优点,增加的辅助钢丝绳可实现吊具平移和旋转功能,将防摇功能和定位进行了分离,小车只负责定位,防摇由辅助钢丝绳实现,简化了程序,同时提高了小车方向定位精度。

该类型轨道吊防摇的实现可参考参考文献[1],本文主要对该类型场桥辅助电机与起升主钢丝绳的同步控制及微动的实现进行研究。


2 微动电机与主起升的同步控制


通过图1、图2 可知,辅助钢丝绳一端缠绕在主卷筒,另一端缠绕在辅助卷筒上 ;主钢丝绳一端缠绕在主卷筒,另一端固定在锁扣上。通过主卷筒转动缠绕在主卷筒上的主钢丝绳和辅助钢丝绳跟着收放,从而实现吊具的上下。由于辅助钢丝绳与主钢丝绳之间存在一定夹角,且主钢丝绳直径与辅助钢丝绳直径不一定相同,因此主卷筒转动时,需要辅助卷筒的配合才能实现起升的正常运行。

假设主钢丝绳锁扣到吊具动滑轮的之间钢丝绳长度为L1,主卷筒到吊具动滑轮之间主钢丝绳长度为L2,主卷筒到吊具上辅助钢丝绳动滑轮之间的辅助钢丝绳长度为L3,辅助卷筒到辅助钢丝绳动滑轮之间长度为L4,起升的高度为H(t)。



图片


图 2 辅助钢丝绳和主钢丝绳结构图

忽略缠绕在动滑轮上的绳长,则每段钢丝绳的长度可以表示为


图片


式中:Loffset1 为起升高度为零时主钢丝绳动滑轮圆点到主钢丝绳锁扣的距离,Loffset2 为起升高度为零时主钢丝绳动滑轮圆点到主卷筒安装平面的距离,Loffset3 为起升高度为零时辅助钢丝绳动滑轮圆点到主卷筒安装平面的距离。

辅助钢丝绳L4 所处角度较大,其在空间上结构如图3 所示。根据空间关系图可得


图片


式中 :X、Y分别为辅助卷筒到吊具动滑轮之间在大、小车方向的偏差,Loffset4 为起升高度为零时辅助钢丝绳动滑轮圆点到辅助卷筒安装平面垂直距离。


图片
图 3 L4 的空间关系图

主钢丝绳和辅助钢丝绳的长度随起升高度变化而变化,起升高度的变化通过主卷筒的旋转产生,现假设卷筒转动一个非常小的角度2 △ φ,并且在转动2 △ φ 过程中吊具没有发生平移和旋转,即X、Y 保持不变,由于系统是动滑轮结构,因此主钢丝绳长度的变化为


图片


式中:R1 为主卷筒上主钢丝绳位置的半径,主钢丝绳位置与辅助钢丝绳位置半径可能不同,r1 为主钢丝绳半径

辅助钢丝绳需要变化长度为


图片


式中:R2 为主卷筒上辅助钢丝绳位置的半径,r2 为辅助钢丝绳半径。

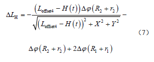
由于大部分时刻△ L1 + △ L2 ≠△ L3 + △ L4,若要保持吊具平衡,需要通过辅助卷筒补偿辅助钢丝绳与主钢丝绳之间不匹配的伸缩量。辅助钢丝绳的补偿量△ LH为



图片


起升在运行时, 假设主卷筒角速度为ω, 则△ φ=ω·△ t,故两边同时除以△ t 可得


图片


因此,在起升运行时,根据起升速度命令就可计算出辅助卷筒的速度。


3 吊具微动的实现


自动化场桥要实现堆场内自动抓放集装箱,首先要确定吊具当前位置和目标集装箱的位置,然后控制吊具微动到目标集装箱位置。为了实现自动吊具抓放箱,需要一套吊具检测系统和目标检测系统。


3.1 吊具检测系统介绍

吊具检测系统主要由安装在小车平台下的相机和安装在吊具上架上的三个红外发射灯组成。三个红外发射灯按照一定空间关系组成结构光源,通过相机实时获取三个发射灯的图像,通过图像处理方法得到光源坐标,从而换算出吊具在空间中的位置和姿态,具体实现方法可查询参考文献[2],通过该系统,可实时获取吊具的实时姿态。


3.2 目标检测系统

目标检测系统主要由两个带转动机构的sick 激光器做成,如图4 所示。由于现有激光扫描仪一般只能检测2D 信息,故将该激光扫描器安装在一个转动机构上。当转动机构转动时,将检测的2D 信息进行存储并与转动机构的编码器信息进行匹配,从而获取目标集装箱的图像,然后通过图像处理技术确定目标的位置信息。在获取目标集装箱位置和当前吊具位置后,即可对吊具进行微动控制,实现自动抓放箱。


图片
图 4 目标检测系统示意图

3.3 吊具微动控制的原理

通过对缠绕结构进行分析,通过对不同辅助电机钢丝绳进行张紧或放松可以实现吊具的平移或旋转。为了便于分析,假定微动时起升处于静止状态,吊具进行平移相当于产生一个△ X,△ Y 的移动,当吊具平移时,一侧辅助钢丝绳放绳,另外一侧收绳,因此前后侧或左右侧辅助电机速度相反。由于X、Y 不相关,并且吊具平移的范围一般在20cm 以内,对X、Y 的影响很小,以其中一根钢丝绳分析,对式4 进行求导可得


图片

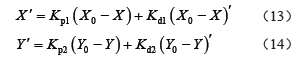
3.4 基于PD 的吊具微动速度确定

吊具微动速度的给定X ´、Y ´ 既不能太快,也不能太慢。太快容易导致吊具晃动,太慢就会降低效率,故吊具微动速度的给定必须合理控制。PID 控制器以其结构简单、稳定性好、调整方便成为工业控制的主要技术之一。其中比例控制是当系统产生误差后,立即产生控制作用以减小偏差;积分控制是为了消除稳态误差;微分控制可以克服误差调节过程中出现的振荡。由于积分作用可能导致积分饱和,输入量过大,因此采用PD 控制。

当通过检测系统检测出吊具需要平移到X0、Y0 时,根据PD 控制算法,X ´、Y ´ 的计算方法为


图片


式中:KP1、KP2 为X、Y 方向的比例系数,Kd1、Kd2为微分控制系数。

由于起升运行、吊具平移X、吊具平移Y 等变量之间互不相关,产生的速度可以进行叠加,根据式(8)、式(11)、式(12) 可得,当起升边下降边进行吊具微动时,微动电机综合的速度给定L΄ 为


图片


由于实际在应用过程中,辅助电机通过减速器接到辅助卷筒,因此电机的速度给定与辅助钢丝绳收放速度之间的关系为


图片


式中:n 为辅助电机的转速,i 为减速比。

由此,可得出辅助电机的速度


图片



4 实际测试


现以实际项目的全功能小车轨道吊进行验证。该项目主卷筒上主钢丝绳侧和辅助钢丝绳侧直径皆为0.624m,主钢丝绳直径为0.026 m,辅助钢丝绳的直径为0.016m,辅助电机的减速度比为146.49,辅助电机额定转速为1 460 rad/min,辅助卷筒的直径的为0.288 m,辅助卷筒安装位置到吊具动滑轮之间在大小车方向的偏差X为1.865 m,Y 为1.405 m,Loffset4 为21.1 m。自动化作业时,经过目标检测系统检测吊具X 方向需要移动到1.910m 位置,采用起升边下降边微动的控制方法,起升速度曲线、其中一个辅助卷筒速度曲线、吊具大车方向的目标位置和实时位置曲线如图5 所示。


图片
图 5 吊具放箱时起升度、其中一个辅助电机速度、微动响应图

通过实际测试,辅助卷筒速度与主卷筒同步性能较好,微动过程中虽有波动,但是波动范围在±2 cm 内,满足自动化作业要求。


参考文献

[1] 张氢,葛韵斐,陈淼,等.ARMG 吊具辅助钢丝绳牵引式主动防摇方法[J]. 哈尔滨工业大学学报,2019(4):36-42.

[2] 倪菲,茅时群,费国,等. 基于机器视觉的吊具位姿检测系统[J]. 起重运输机械,2011(10):43-47.

 
  • 上一篇:起重电机之为什么起重机司机在操作中要执行好“七字方针”?
  •  
     
    相关产品 更多产品>>
     
     
    起重电机新闻 更多新闻>>
     
    起重电机之全功能小车型轨道式集装箱起重机辅助电机自动控制研究 2022-06-08
    起重电机之为什么起重机司机在操作中要执行好“七字方针”? 2022-06-08
    永磁同步电机设计需要注意哪些参数 2022-06-08
    起重电机之发电机的三种运行方式分别是什么? 2022-06-07
    起重电机之高速电机定义、应用、关键技术、发展现状 2022-06-07
    起重电机之电机是怎么转起来的? 2022-06-07
    起重电机之超高效电机为什么节能? 2022-06-06
    起重电机之直线电机在日常生活中的应用 2022-06-06
    起重电机之徐工新能源起重机家族的“安全观” 2022-06-06
    冶金起重电机接线方式有几种?为什么多采用星型接法? 2022-06-02
    起重机作业为什么操作中不能斜拉歪拽? 2022-06-02
    时间和温度如何影响永磁体的稳定性? 2022-05-31
    电动机的分类及应用 2022-05-31
    电动机绕组的接线方法:星形+三角形+星三角的特点和性能对比! 2022-05-31
    三相电机为什么可以接单相220V 2022-05-30
     


    专业起重电机起重变频电机生产商-无锡宏达特种电机有限公司

    返回首页 | 关于我们 | 产品展示 | 荣誉资质 | 生产设备 | 企业文化 | 联系我们 | 起重电机信息 | 人才招聘 | 网站地图
    Copyright © 2012 无锡宏达特种电机有限公司, Inc. 苏ICP备12019556号-1
    网页关键词:
    起重电机起重变频电机,电机
    友情链接:卷染机   定型机   电动蝶阀   平开门电机   cosmetic packaging   东莞齿轮   Rubber Gasket   废旧轮胎胶粉设备   马弗炉   机械加工厂家   游泳池水处理设备